Apremilast API
Appearance: White or off-white powder
Standard: in-house
Supply Ability: 50kg per month
Shelf Life: Two years
Payment: T/T, LC or DA
Delivery Time: Ready Stock
Origin: China
Shipping: DHL, FedEx, TNT, EMS, By Sea, By Air
Can't sell to individuals
- Fast Delievery
- Quality Assurance
- 24/7 Customer Service
Product Introduction
We supply Apremilast API
We offer Apremilast API, a drug used for the treatment of psoriasis and psoriatic arthritis. it workshop by inhibiting an enzyme called phosphodiesterase 4, which reduces inflammation in the body. As an API, it can be used by pharmaceutical companies to develop a variety of lozenge forms, similar as tablets, capsules, or injections. Our product is high quality and chastity, meeting all nonsupervisory norms. With our moxie and commitment to client satisfaction, we guarantee timely delivery and competitive pricing. communicate us for further information on our Apremilast API and our other pharmaceutical products.
What is Apremilast API
Apremilast, also known as CC-10004. it is a largely effective medicine that's used in the treatment of colorful autoimmune conditions similar as psoriasis, psoriatic arthritis, and Behcet’s pattern. This active pharmaceutical component is an orally administered asset of the protein phosphodiesterase- 4( PDE4). This protein is responsible for the breakdown of the alternate runner cyclic AMP( cAMP). By inhibiting PDE4, itI increases the situations of cAMP in cells, leading to the repression ofpro-inflammatory factors and the creation ofanti-inflammatory motes.
it is synthetic, and its chastity and quality are constantly covered during product. It's supplied as a white- to- off-white crystalline greasepaint and has a molecular formula of C22H24N2O7. As an API, it can be formulated into a variety of tablets and formats to suit the requirements of cases.
Basic Information
Product Name: Apremilast
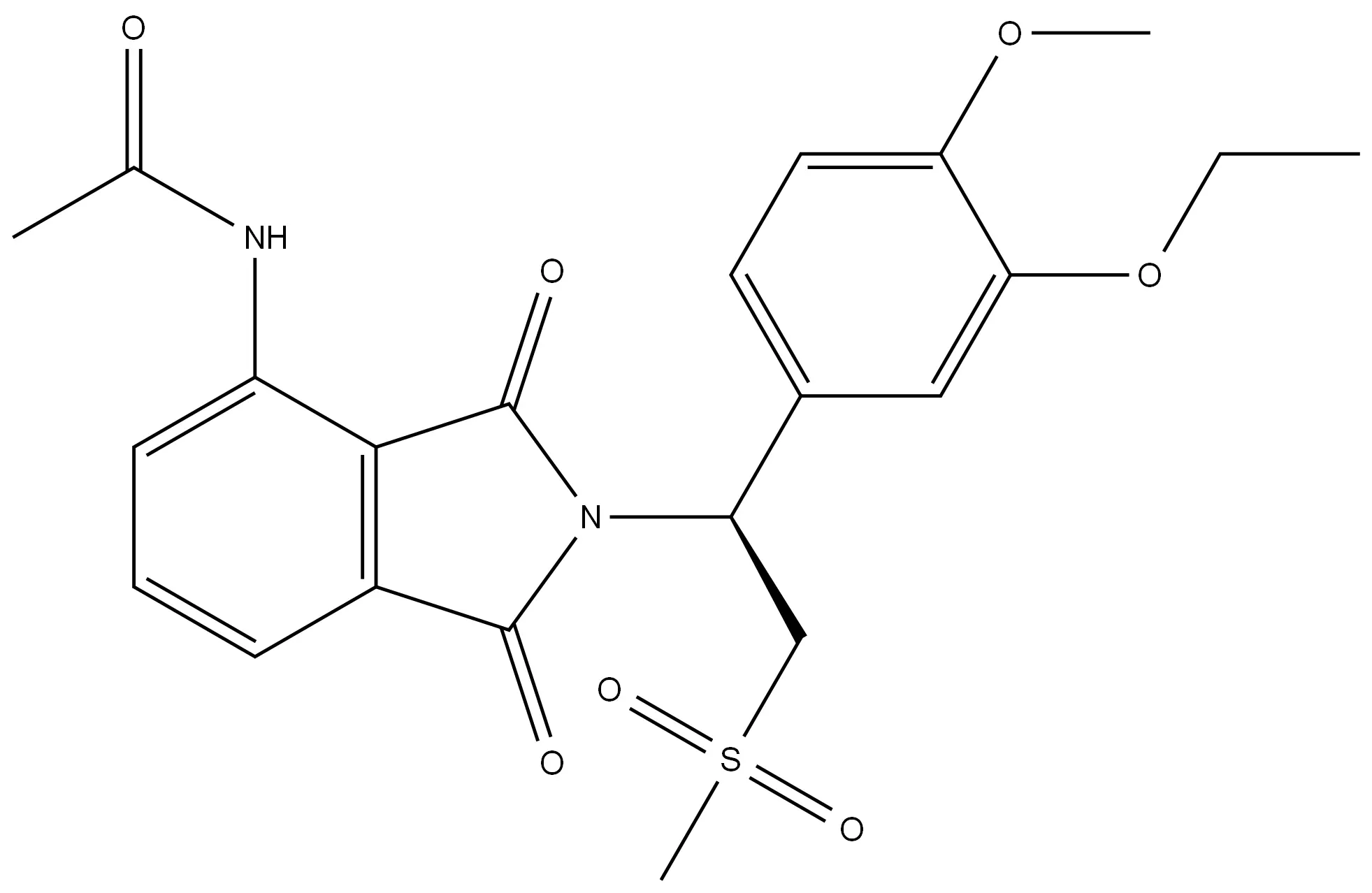
CAS:608141-41-9
MF:C22H24N2O7S
MW:460.5
EINECS:807-237-6
MDL No.:MFCD18782607
Structural formula:

Purity: 99%+
Origin: China
Application: Psoriasis, psoriatic arthritis
Delivery Time: stock
Melting point: 152-156 ° C
Boiling point: 741.3 ± 60.0 ° C (Predicted)
Density: 1.381
Solubility: soluble in chloroform (mild), DMSO (mild), methanol (mild, heated)
Technical Specification:
|
Test Items |
Inspection Specifications |
Test Results |
|
Appearance |
White powder |
Conform |
|
Related substances |
Any single unknown impurity not more than 0.1% Total impurity not more than 0.5% |
0.08% 0.15% |
|
Enantiomer |
Not more than 0.05% |
0.13% |
|
Loss on drying |
Not more than 0.05% |
0.04% |
|
Melting point |
154~158ºC |
Conform |
|
Residue on ignition |
Not more than 0.5% |
0.02% |
|
Residual solvents |
Methan not more than 3000ppm Ethanol not more than 5000ppm THF not more than 720ppm Acetonitrile not more than 410ppm Aceton not more than 5000ppm Dichloromethae not more than 600ppm |
570ppm N.D. N.D. 69ppm 800ppm N.D. |
|
Assay |
99.0%min |
99.92% |
Package: 100g; 1kg; 25kg
Storage conditions: keep tightly closed, store in a cool dry place.
What is the Application of Apremilast API
Suitable for treating adult patients with active psoriatic arthritis.
What is the Mechanism of action of Apremilast API
Apremilast API specifically targets PDE-4 to regulate the expression of pro-inflammatory and anti-inflammatory mediators in innate immune cells. In mononuclear dendritic cells, pro-inflammatory signals derived from the Toll like receptor (TLR4) pathway cause transcription of nuclear factor kappaB (NF)- κ B) Activation of cytokines and expression of pro-inflammatory mediators such as IL-23 and TNF- α And IFN-g. Signals from G protein coupled receptors (GPCRs) such as prostaglandin binding proteins stimulate G proteins α Gas is used to activate adenylate cyclase (AC), thereby producing cAMP. In white blood cells such as macrophages and dendritic cells, cAMP is hydrolyzed into AMP by PDE-4. As an inhibitor of PDE-4, Apust can increase the level of intracellular cAMP, thereby activating cAMP dependent protein kinase A (PKA) and activating cyclic nucleotide gated ion channels. PKA activation leads to phosphorylation of the cAMP responsive element (CRE) binding family in transcription factors, simultaneously activating transcription factor 1 (ATF-1). In specific cells such as macrophages, these factors such as IL-10 bind to the binding site of the CRE gene promoter, increasing the expression of cellular genes. CRE driven transcriptional activation aggregates co activators such as CREB binding protein (CBP), homologous protein p300, etc. From NF- κ CBP and p300 from set B will inhibit NF- κ B's transcriptional activity decreases NF- κ The expression of B-dependent genes leads to IL-23 and TNF- α And the decrease in IFN-g. The reduced response to inflammation can lead to a decrease in inflammatory infiltration of immune cells, as well as a reduction in the proliferation and activation of keratinocytes and synovial cells, reducing epidermal thickening in psoriasis and synovial damage in arthritis.
What is the Security of Apremilast API
1. Depression
There is a correlation between the occurrence of adverse reactions to depression and an increase in dosage when using this product for treatment. Therefore, patients with a history of depression and/or suicidal thoughts or behaviors should carefully weigh the treatment risks and benefits before using this product. Patients, nursing staff, and family members should be advised to be vigilant against the occurrence or deterioration of depression, suicidal thoughts, or other emotional changes; If such a situation occurs, it should be dealt with promptly and carefully evaluated whether to continue using this product.
2. Weight loss
Patients treated with this product should regularly monitor their weight. If unexplained or clinically significant weight loss occurs, evaluation should be conducted and consideration should be given to discontinuing the use of this product.
3. Adverse reactions
Common adverse reactions include nausea, diarrhea, headache, upper respiratory tract infection, nasopharyngeal inflammation, and upper abdominal pain, with the vast majority being mild or moderate and mostly disappearing within 4 weeks.
Preparation method of Apremilast API
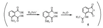
1. 3-ethoxy-4-methoxybenzonitrile (1) was used as the raw material to react with dimethyl sulfoxide (pre treated with n-butyl lithium in tetrahydrofuran) in tetrahydrofuran to obtain enamine derivatives (2). Subsequently, the desired S-type amine (3) was obtained through asymmetric hydrogenation reduction in trifluoroethanol solution at 50 ℃. Add N-acetyl-L-leucine to a methanol solution of 3 to obtain the corresponding salt (4), and finally reflux with benzofuran derivatives (5) in acetic acid to obtain Apust through condensation reaction. 5 can be obtained from 3-nitrophthalic acid through nitro reduction and then acylation reaction with acetic anhydride. The synthesis route is as follows:

2. Using 3-ethoxy-4-methoxybenzaldehyde as the raw material, an imine of 3-ethoxy-4-methoxybenzaldehyde was generated in a solution of hexamethyldisilazylamine lithium tetrahydrofuran, and then reacted with ether solutions of dimethyl sulfone, n-butyl lithium, and boron trifluoride at 78 ℃ to obtain 1- (3-ethoxy-4-methoxy-phenyl) -2-methylsulfonyl ethanone (1); Methanol was used as the solvent, and compound 1 was chemically separated from N-acetyl-L-leucine to obtain an S-shaped isomer compound (2); Compound 2 and 3-N-acetylaminophthalic anhydride were refluxed in acetic acid and subjected to condensation reaction to obtain the target compound Aplastone. The synthesis route is as follows:

In conclusion
Xi 'an Yihui Company as a professional manufacturer of Apremilast API, with high-quality products, high level of research and development capabilities, advanced production equipment and technology, perfect after-sales service and other advantages, is the customer choice of the ideal partner.
if you need CC-10004, pls feel free to contact us any time. we will reply you ASAP.
Our contact information:
E-mail: sales@yihuipharm.com
Tel: 0086-29-89695240
WeChat or WhatsApp: 0086-17792415937
Reference:
[1] Compiled by Chen Jianchao. Apremilast. Chinese Journal of Pharmaceutical Chemistry. 2014.24 (5)
[2] Zhao Qian, Sun Yue, Shi Yu, et al. Phosphodiesterase-4 inhibitor Apristat [J]. Modern Medicine and Clinical, 2014,29 (4): 428-433
[3] Wu Aiping, Zhang Zhiye, Wang Li. Pharmacological effects and clinical evaluation of a new drug, Apust, for the treatment of psoriatic arthritis. New Drug Review and Forum. Chinese Journal of New Drugs 2015,24 (9)
Explanation: The provided information is limited, mainly summarizing the literature on its preparation methods, pharmacological mechanisms, and safety, laying a foundation for its application in medicine.
Send Message
If you have any enquiry about quotation or cooperation, please feel free to email us at E-mailor use the following enquiry form. Our sales representative will contact you within 24 hours.Thank you for your interest in our products.









